




HIV Replication Rate I
silk, cotton thread, silk organza and merino wool fibres, glass beads, synthetic wadding (batting)
58" x 38". 2010

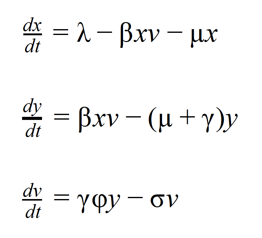
These equations represent the dynamics over time in a person living with HIV of uninfected CD4 cells, infected CD4 cells, and cell-free HIV virus (Anderson and May, 1990). The artist hand-quilted them into this piece in a spiral and appliqued hand-felted representations of the CD4 cells being infected by glass bead HIV particles on top. Garnett’s aim was to make a piece about HIV that wasn’t a memorial quilt, but a response to the people living with and/or working on this disease.